芯城品牌采购网 > 品牌资讯 > 元器件百科 > 光电二极管

光电二极管

芯城品牌采购网

24835

光电二极管工作原理

光电二极管是将光信号变成电信号的半导体器件。它的核心部分也是一个PN结,和普通二极管相比,在结构上不同的是,为了便于接受入射光照,PN结面积尽量做的大一些,电极面积尽量小些,而且PN结的结深很浅,一般小于1微米。

光电二极管是在反向电压作用之下工作的。没有光照时,反向电流很小(一般小于0.1微安),称为暗电流。当有光照时,携带能量的光子进入PN结后,把能量传给共价键上的束缚电子,使部分电子挣脱共价键,从而产生电子---空穴对,称为光生载流子。

它们在反向电压作用下参加漂移运动,使反向电流明显变大,光的强度越大,反向电流也越大。这种特性称为“光电导”。光电二极管在一般照度的光线照射下,所产生的电流叫光电流。如果在外电路上接上负载,负载上就获得了电信号,而且这个电信号随着光的变化而相应变化。

光电二极管光电三极管是电子电路中广泛采用的光敏器件。光电二极管和普通二极管一样具有一个PN结,不同之处是在光电二极管的外壳上有一个透明的窗口以接收光线照射,实现光电转换,在电路图中文字符号一般为VD。光电三极管除具有光电转换的功能外,还具有放大功能,在电路图中文字符号一般为VT。光电三极管因输入信号为光信号,所以通常只有集电极和发射极两个引脚线。同光电二极管一样,光电三极管外壳也有一个透明窗口,以接收光线照射。

光电二极管主要特性

1、光电二极管的伏安特性。

光电二极管的伏安特性是指光电二极管上所产生的光电流与其两端所加电压之间的关系。

778fa35adfa636bbec780416ed2d829413.jpg

2、光电二极管的光照特性

光电管的阴极和阳极之间所加的电压一定时,光通量与光电流之间的关系。光照特性曲线的斜率称为光电管的灵敏度。

3、光电二极管的光谱特性

光电二极管光电流与入射光的波长的关系叫光谱特性。光子能量的大小与光的波长有关:波长越长,光子具有的能量越小;相反,波长越短,光子具有的能量越大。

光电二极管技术参数

1.最高反向工作电压;

2.暗电流;

3.光电流;

4.灵敏度;

5.结电容;

6.正向压降;

7.响应时间。

光电二极管检测方法

(1)电阻测量法

用万用表1k挡。光电二极管正向电阻约10kΩ左右。在无光照情况下,反向电阻为∞时,这管子是好的(反向电阻不是∞时说明漏电流大);有光照时,反向电阻随光照强度增加而减小,阻值可达到几kΩ或1kΩ以下,则管子是好的;若反向电阻都是∞或为零,则管子是坏的。

(2)电压测量法

用万用表1V档。用红表笔接光电二极管“+”极,黑表笔接“―”极,在光照下,其电压与光照强度成比例,一般可达0.2―0.4V。

(3)短路电流测量法

用万用表50μA档。用红表笔接光电二极管“+”极,黑表笔接“―”极,在白炽灯下(不能用日光灯),随着光照增强,其电流增加是好的,短路电流可达数十至数百μA。

在实际工作中,有时需要区别是红外发光二极管,还是红外光电二极管(或者是光电三极管)。其方法是:若管子都是透明树脂封装,则可以从管芯安装外来区别。红外发光二极管管芯下有一个浅盘,而光电二极管光电三极管则没有;若管子尺寸过小或黑色树脂封装的,则可用万用表(置1k挡) 来测量电阻。用手捏住管子(不让管子受光照),正向电阻为20-40kΩ,而反向电阻大于200kΩ的是红外发光二极管;正反向电阻都接近∞的是光电三极管;正向电阻在10k左右,反向电阻接近∞的是光电二极管

光电二极管性能参数

光电二极管的一些关键性能参数包括以下几项。

响应率

一个硅光电二极管的响应特性与突发光照波长的关系响应率(responsivity)定义为光电导模式下产生的光电流与突发光照的比例,单位为安培/瓦特(A/W)。响应特性也可以表达为量子效率(Quantum efficiency),即光照产生的载流子数量与突发光照光子数的比例。

暗电流

光电导模式下,当不接受光照时,通过光电二极管的电流被定义为暗电流。暗电流包括了辐射电流以及半导体结的饱和电流。暗电流必须预先测量,特别是当光电二极管被用作精密的光功率测量时,暗电流产生的误差必须认真考虑并加以校正。

等效噪声功率

等效噪声功率(英语:Noise-equivalent power, NEP)是指能够产生光电流所需的最小光功率,与1赫兹时的噪声功率均方根值相等。与此相关的一个特性被称作是探测能力(detectivity, D),它等于等效噪声功率的倒数。等效噪声功率大约等于光电二极管的最小可探测输入功率。

光电二极管被用在光通信系统中时,这些参数直接决定了光接收器的灵敏度,即获得指定比特误码率(bit error rate)的最小输入功率。

光电二极管制作材料

用于制作光电二极管的材料对于产品属性至关重要,因为只有具备充足能量光子能够激发电子穿过能隙,从而产生显著的光电流。

下表包括了用于制造光电二极管的常见材料:

778fa35adfa636bbec780416ed2d829413.jpg

由于硅光电二极管具有更大的能隙,因此它在应用过程中产生的信号噪声比锗光电二极管小。

光电二极管应用

PN结型光电二极管与其他类型的光探测器一样,在诸如光敏电阻、感光耦合元件(Charge-coupled Device, CCD)以及光电倍增管等设备中有着广泛应用。它们能够根据所受光的照度来输出相应的模拟电信号(例如测量仪器)或者在数字电路的不同状态间切换(例如控制开关、数字信号处理)。

光电二极管在消费电子产品,例如CD播放器、烟雾探测器以及控制电视机、空调的红外线遥控设备中也有应用。对于许多应用产品来说,可以使用光电二极管或者其他光导材料。它们都可以被用于测量光,常常工作在照相机的测光器、路灯亮度自动调节等。

所有类型的光传感器都可以用来检测突发的光照,或者探测同一电路系统内部的发光。光电二极管常常和发光器件(通常是发光二极管)被合并在一起组成一个模块,这个模块常被称为光电耦合元件。如果这样就能通过分析接收到光照的情况来分析外部机械元件的运动情况(例如光斩波器)。光电二极管另外一个作用就是在模拟电路以及数字电路之间充当中介,这样两段电路就可以通过光信号耦合起来,这可以提高电路的安全性。

在科学研究和工业中,光电二极管常常被用来精确测量光强,因为它比其他光导材料具有更良好的线性。

在医疗应用设备中,光电二极管也有着广泛的应用,例如X射线计算机断层成像(computed tomography, CT)以及脉搏探测器。

PIN结型光电二极管一般不用来测量很低的光强。然而,如果光强足够大,雪崩光电二极管、感光耦合元件或者光电倍增管就能发挥作用,例如天文学、光谱学、夜视设备、激光测距仪等应用产品。

光电倍增管的比较比光电倍增管更加优越的特性:

1.更好的线性

2.从190纳米到1100纳米(硅)的响应光谱范围

3.低噪声

4.被加固以适应机械挤压

5.价格低廉

6.结实但自重较轻

7.使用寿命长

8.无需高压电源即可工作

缺点:

1.面积太小

2.没有内部增益(雪崩光电二极管除外,而且即使是雪崩光电二极管,其内部增益也通常只有102–103 ,远低于光电倍增管的108数量级

3.总的来说灵敏度更低

4.只有具有特殊设计的产品才能对光子进行记数

5.许多产品设计的响应时间更慢

光电二极管种类

光电二极管PN型

特性:优点是暗电流小,一般情况下,响应速度较低。

用途:照度计、彩色传感器、光电三极管、线性图像传感器、分光光度计、照相机曝光计。

光电二极管PIN型

特性:缺点是暗电流大,因结容量低,故可获得快速响应。

用途:高速光的检测、光通信、光纤、遥控、光电三极管、写字笔、传真。

光电二极管发射键型

特性:使用Au薄膜与N型半导体结代替P型半导体

用途:主要用于紫外线等短波光的检测

光电二极管雪崩型

特性:响应速度非常快,因具有倍速作用,故可检测微弱光。

用途:高速光通信、高速光检测

光电二极管器件特性与本征参数关系

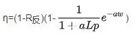
① 量子效率,

778fa35adfa636bbec780416ed2d829413.jpg

R反为光敏面反射系数,为空穴的扩散长度。为了减小R反,通常在受光面镀抗反膜。

②响应速度,在全耗尽情况,响应速度由耗尽区渡越时间τd及(Rs+RL)C时间常数决定。τd=W/V,Vs,为饱和漂移速度,Rs为二极管串联电阻,RL为负载电阻,C为器件电容。

③噪声来源,噪声包括散弹噪声和热噪声。前者来源于光电流、背景光电流及暗电流等的随机量子起伏。热噪声由负载电阻及跟随放大器的输入阻抗等温度起伏所引起。

④暗电流Id,耗尽区的峰值电场超过临界值Em(InGaAS Em≈1.5×10V/cm)时,隧道电流将成为暗电流的主要成分。使用时必须保Em<Em。

⑤寿命,反映光电二极管退化的主要参数是反向漏电流,室温反向漏电流增加至原始值10倍时的工作时间为光电二极管的寿命。

光电二极管二极管

一个由上千个光电二极管组成的一维管组可以用来构成位置传感器、角度传感器。


免责声明:
文章内容转自互联网,不代表本站赞同其观点;
如涉及内容、图片、版权等问题,请联系2644303206@qq.com我们将在第一时间删除内容!